Evolution of Parasitism

When and how did parasites arise? While there is no definitive answer, parasitologists agree that parasitism has evolved among very diverse groups of free-living progenitors. One of these earlier organisms probably formed an initially casual association with another organism, and one member of the pair—perhaps due to preadaptation—developed a gradually increasing dependency on the other. The predisposition may never become operational as long as the organism remains free-living; however, if for some reason it becomes associated with a potential host, this latent ability becomes critically important for survival should hostile environmental conditions develop. Preadaptations can be structural, developmental, and/or physiological.

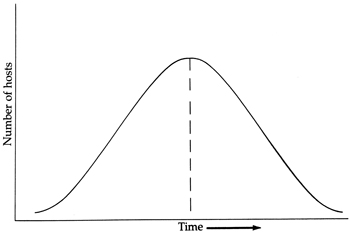
Parasites of the digestive tract probably became such after having been swallowed, either accidentally or intentionally, by the host. If they were preadapted to withstand the environment or were capable of subsequent adaptation to it, they might have become prgressively more dependent on the new environment or might even have migrated to other more hospitable areas, such as the lungs or liver. It is evident that parasites requiring two or more hosts developed their multi-host life cycles sequentially, for instance, blood-inhabiting flagellates first parasitized the digestive tract of insects and, when introduced to vertebrate blood while the insect was feeding, adapted to that environment secondarily. So, present intermediate hosts once may well have been definitive hosts. Recent studies suggest that the advancement to parasitism is best represented by a bell-shaped curve in which the increasing number of intermediate hosts signifies higher adaptability only up to a point. Thereafter, elimination of certain hosts is considered a more successful state because simplification of the life-cycle may enhance the parasite's chance of reaching the definitive host.

Fig 1. Hypothetical model showing an increase in the number
of obligatory hosts in the evolution of parasites.

Human/Parasite Coevolution
We are developing a better understanding of how our species has been involved in coevolutionary associations with parasites such as bedbugs, tapeworms and lice. Many of these associations appear to be very old. Bedbugs were likely acquired from bats and evolved to become hominin-specific pathogens before the divergence of Homo sapies from other hominins. Hominids appear to have acquired tapeworms long before the origins of Homo sapiens, perhaps due to the shift to a meat-based diet. Humans subsequently transmitted their tapeworms to the domesticated pigs with which we associate these paraites, rather than vice versa as previously believed. Because two ecological types of the human louse Pediculus humanus—head lice and clothing lice (or body lice)—diverged between 83,000 and 170,000 years ago, researchers have hypothesized that humans first began wearing clothes during that time window. Pubic lice (Pthirus pubis) did not speciate on their human hosts but instead jumped to humans from gorillas about 3.3 million years ago, long after the divergence between their hosts (humans and gorillas diverged ~7 mya). (Reed et al., 2007).

Fig. 2. Phylogenetic tree for primate lice and their vertebrate hosts.
Trees are shown as cladograms with no branch length information,and are based on
molecular and morphological data. Dashed linesbetween trees represent host-parasite
interactions. Humans ar unique in being parasitized by two genera (Pediculus and Pthirus).

Reference
Reed, D.I., J.E. Light., J.M. Allen, and J.J Kirchman., 2007. Pair of lice lost or parasites gained: The evolutionary history of anthropoid primate lice. BMC Biology 5:7.